您好,欢迎来到常州凯瑞化学科技有限公司!专业生产:二月桂酸二丁基锡,有机铋和有机锌等产品

15961209877

:二月桂酸二丁基锡,有机铋,有机锌
新闻中心

凯瑞化学

: 洪经理

: 15961209877

: 0519-86896136

: 0519-82059235

: kr@krchemistar.com

: 江苏省常州钟楼经济开发区玉龙南路178号

常州有机锌厂家浅谈有机锌试剂的制备方法
:2021-03-17 14:41:34 丨 :

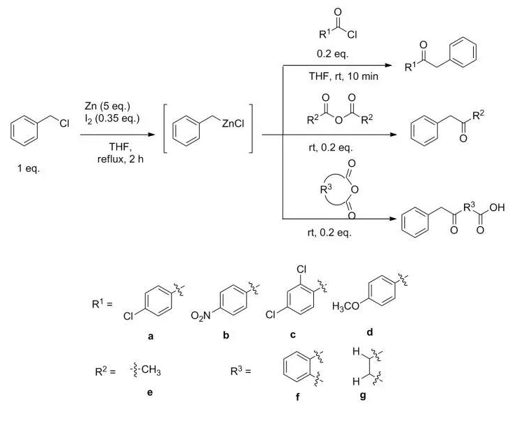
     关于有机锌试剂的制备,市面上有很多种方法,但大多都需要严格的操作环境,以及复杂的催化反应才能制作而成。为此,常州有机锌厂家分享一种简单、易操作,可直接制备有机锌试剂的方法,具体操作流程如下:

     以无水四氢呋喃为溶剂,在催化量的碘的引发下经过锌粉和苄氯进行反应,即可快速制备得到有机锌试剂,并且在不加处理分离的情况下,直接与酰基化试剂反应得到相应的酰基类化合物。

     这种方法制备得出的有机锌试剂,不仅产量高,而且操作简单,其反应活性更好。


1-21031G45103342.jpg

Copyright © 2019-2020 凯瑞化学

:0519-86896136  :洪经理 15961209877  :0519-82059235

:kr@krchemistar.com

:江苏省常州钟楼经济开发区玉龙南路178号